Ανεργία: Υποχώρησε στο 6,5% στην ευρωζώνη τον Μάιο – Σταθερά δεύτερη η Ελλάδα με 10,8%
Οι άνεργοι στην ΕΕ συνολικά ανέρχονται σε 12.937.000 άτομα εκ των οποίων τα 11 εκατ. περίπου είναι στη ζώνη του ευρώ
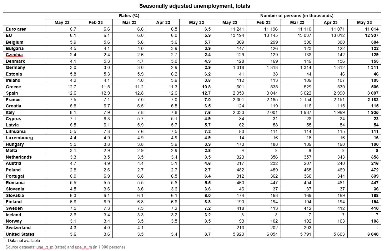
Μείωση της ανεργίας στην ευρωζώνη τον Μάιο 2023 δείχνουν τα στοιχεία της Eurostat καθώς διαμορφώθηκε σε 6,5% όταν τον Μάιο του 2022 ήταν 6,7%, ενώ τον Απρίλιο 2023 ήταν στα ίδια επίπεδα. Όσον αφορά συνολικά στην ΕΕ η ανεργία διαμορφώθηκε πιο χαμηλά, στο 5,9%, από 6,1% τον Μάιο του 2022 και 6% τον Απρίλιο 2023.
Σύμφωνα με την Eurostat οι άνεργοι στην ΕΕ συνολικά ανέρχονται σε 12.937.000 άτομα εκ των οποίων τα 11 εκατ. περίπου είναι στη ζώνη του ευρώ. Σε ετήσια βάση, οι άνεργοι στο μπλοκ της ΕΕ μειώθηκαν κατά 257.000 άτομα στην ΕΕ και κατά 227.000 στην ευρωζώνη.
Η Ελλάδα διατηρήθηκε και αυτόν τον μήνα στη δεύτερη θέση της ευρωπαϊκής κατάταξης, πίσω από την Ισπανία, με 10,8% μειωμένη κατά 0,5 ποσοστιαίες μονάδες σε σχέση με τον Απρίλιο 2023 (11,3%) και κατά 1,9 π.μ. σε σχέση με τον Μάιο του 2022 (12,7%).

Το υψηλότερο ποσοστό ανεργίας καταγράφηκε στην Ισπανία με 12,7% και μετά την Ελλάδα, στην τρίτη θέση βρέθηκε η Ιταλία με 7,6% και ακολούθησαν με 7,2% η Λιθουανία και η Σουηδία. Το χαμηλότερο ποσοστό είχαν η Τσεχία με 2,4% και η Μάλτα με 2,8%.

Η ανεργία των νέων
Σε σχέση με την ανεργία των νέων η Ελλάδα επίσης κατέλαβε τη δεύτερη θέση σε όλη την ΕΕ, πίσω από την Ισπανία, με 24% έναντι 28,3% τον Απρίλιο 2023 και 32,7% τον Μάιο 2022.
Συνολικά στην ΕΕ, καταγράφηκαν 2.696.000 άνεργοι νέοι (ηλικίας κάτων 25 ετών) εκ των οποίων τα 2,22 εκατομμύρια ήταν στην ευρωζώνη. Τον Μάιο 2023 η ανεργία των νέων κυμάνθηκε κατά μέσο όρο στην ΕΕ και την ευρωζώνη στο 13,8%, σε σταθερά επίπεδα σε σχέση με τον προηγούμενο μήνα. Σε σύγκριση με τον Μάιο 2022, καταγ΄ραφηκαν 65.000 άνεργοι νέοι περισσότεροι στην ΕΕ και 46.000 περισσότεροι στην ευρωζώνη.
Ανεργία ανά φύλο
Το ποσοστό ανεργίας για τις γυναίκες ήταν 6,2% στην ΕΕ, από 6,3% τον Απρίλιο του 2023, ενώ στους άνδρες ήταν 5,7% τον Μάιο του 2023, σταθερό σε σύγκριση με τον προηγούμενο μήνα. Στη ζώνη του ευρώ, το ποσοστό ανεργίας για τις γυναίκες ήταν 6,8%, από 6,9% τον Απρίλιο του 2023, ενώ για τους άνδρες ήταν 6,2%, σταθερό σε σύγκριση με τον προηγούμενο μήνα.
- Youth Pass 150 ευρώ: Πώς και πότε θα το λάβουν οι νέοι
- Tι αλλάζει σε μισθούς και συντάξεις – Αυξήσεις μισθών σε βάθος 4ετιας
- Έρχονται φορο-ανάσες από το 2024 – Όλες οι παρεμβάσεις
