ΕΛΛAΔΑ
2.164 τα νέα κρούσματα του κορωνοϊού στην Κρήτη
Δείτε πώς διαμορφώνεται η γεωγραφική κατανομή των νέων μολύνσεων
SHARE:
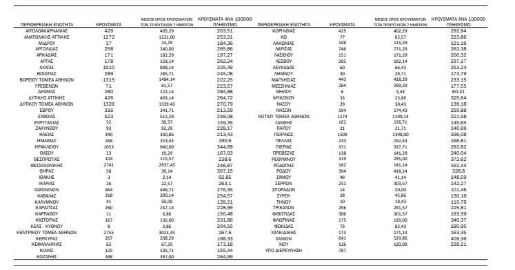
Σε υψηλά επίπεδα διατηρείται το πλήθος των νέων κρουσμάτων του κορωνοϊού στην Κρήτη, καθώς ο ΕΟΔΥ ανακοίνωσε το απόγευμα της Δευτέρας 2.164 νέες μολύνσεις σε τοπικό επίπεδο. Σύμφωνα με τα στοιχεία της ημερήσιας έκθεσης επιδημιολογικής επιτήρησης:
- 1.053 νέα κρούσματα καταγράφηκαν στο Ηράκλειο
- 151 στο Λασίθι
- 319 στο Ρέθυμνο, και
- 641 στα Χανιά
Στον πίνακα που ακολουθεί δείτε πώς διαμορφώνεται η γεωγραφική κατανομή των νέων μολύνσεων:

Διαβάστε επίσης:
Κορωνοϊός: 27.776 νέα κρούσματα και 85 θάνατοι το τελευταίο 24ωρο
«Ταβάνι» έπιασαν τα κρούσματα κορωνοϊού στα σχολεία της Κρήτης - ξεπερνούν τα 1600!
Κορωνοϊός στην Κρήτη: Γέμισαν τα μεγάλα νοσοκομεία
Διαβάστε περισσότερες ειδήσεις από την Κρήτη