Τις σχολικές μονάδες Πρωτοβάθμιας Εκπαίδευσης (Δημόσια Νηπιαγωγεία και Δημοτικά) οι οποίες θα εφαρμόσουν πιλοτικά κατά το σχολικό έτος 2022-23 το νέο, αναβαθμισμένο πρόγραμμα ολοήμερου μέχρι τις 5:30 μμ (αντί 4 μμ που ίσχυε μέχρι σήμερα), ανακοίνωσε το Υπουργείο Παιδείας.
Όπως τονίζεται, για την επιλογή των σχολικών μονάδων ελήφθησαν υπόψη κριτήρια όπως το μαθητικό δυναμικό του σχολείου, ο αριθμός των μαθητών που φοιτούν ήδη σε ολοήμερο και ο αριθμός των λειτουργούντων ολοήμερων τμημάτων.
Το πρόγραμμα θα υλοποιηθεί περίπου στο 50% των τμημάτων που λειτουργούν σήμερα ως ολοήμερα, δηλαδή σε σχεδόν 5.000 τμήματα σε Αθήνα, Θεσσαλονίκη και περιφέρεια.
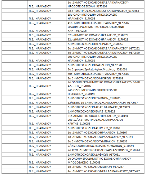
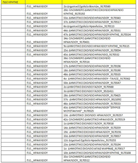
Δείτε τα σχολεία στην Κρήτη:














Όπως αναφέρεται στην ανακοίνωση του υπουργείου:
«Ο στόχος του διευρυμένου δωρεάν παιδαγωγικού προγράμματος είναι διττός:
Αφ’ ενός, η ποιοτική αναβάθμιση της εκπαίδευσης για τα παιδιά μας, μέσω:
- δραστηριοτήτωνόπως εκπαιδευτική ρομποτική, πειράματα, ρητορική τέχνη, ασφαλής και δημιουργική πλοήγηση στο Διαδίκτυο, αθλητισμός, παραδοσιακοί ή μοντέρνοι χοροί, εικαστικές τέχνες, χειροτεχνίες και κατασκευές, εκμάθηση μουσικών οργάνων
- επιπλέον χρόνουγια μάθηση, μελέτη και παιχνίδι στο σχολείο.
Αφ’ ετέρου, η υποστήριξη της οικογένειας, με:
- προσέγγιση του σχολικού με το εργασιακό ωράριοτων γονέων,
- περισσότερο ελεύθερο, δημιουργικό χρόνοστο σπίτι, εφόσον η μελέτη θα ολοκληρώνεται στο σχολείο,
- επέκταση των δωρεάν παροχώνεκπαίδευσης.
Αξίζει να σημειωθεί ότι η πρόσβαση όλων των μαθητών στο διευρυμένο ολοήμερο είναι ελεύθερη, χωρίς κανένα κριτήριο συμμετοχής.
Οι γονείς θα ενημερωθούν για όλες τις λεπτομέρειες σχετικά με την εγγραφή των παιδιών τους στο διευρυμένο Ολοήμερο τις πρώτες ημέρες του Σεπτεμβρίου και πριν την έναρξη των μαθημάτων, από τους Διευθυντές των σχολικών μονάδων.
Η Υπουργός Παιδείας και Θρησκευμάτων, Νίκη Κεραμέως, δήλωσε: «Ανακοινώνουμε σήμερα τις σχολικές μονάδες που θα εφαρμόσουν από τη νέα σχολική χρονιά το διευρυμένο ολοήμερο σχολείο μέχρι τις 5:30 μμ. Η νέα αυτή πρωτοβουλία έχει διττή στόχευση: αφ’ ενός να εξασφαλίσει περισσότερα και καλύτερα εφόδια στα παιδιά μας αναβαθμίζοντας περαιτέρω τη δημόσια δωρεάν παιδεία, αφετέρου να στηρίξει τους εργαζόμενους γονείς, επιτυγχάνοντας μια μεγαλύτερη προσέγγιση μεταξύ σχολικού ωραρίου και ωραρίου των εργαζόμενων γονέων. Δημιουργούμε ένα σχολείο μέσα στην κοινωνία, με μαθητές που εκφράζονται δημιουργικά μέσα από νέες εκπαιδευτικές δραστηριότητες και έχουν περισσότερο ποιοτικό χρόνο στο σπίτι. Και με γονείς που μπορούν να ενταχθούν καλύτερα στον εργασιακό βίο, απολαμβάνοντας πιο ποιοτικές παροχές από τη δημόσια, δωρεάν εκπαίδευση».
Η σχετική ΥΑ με τον πίνακα των σχολείων εδώ



