Επιβράδυνση της αύξησης του προσδόκιμου ζωής στην Ευρώπη, διαπιστώνει έρευνα
Διατροφή, έλλειψη άσκησης και covid «ροκανίζουν» τα χρόνια των Ευρωπαίων
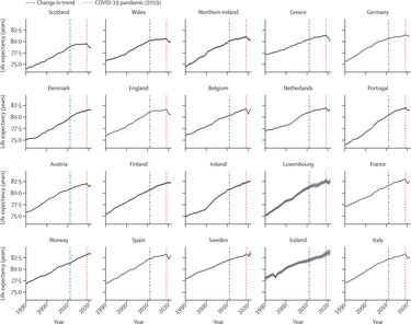
H αύξηση του προσδόκιμου ζωής των κατοίκων της Ευρώπης έχει επιβραδυνθεί από το 2011 και μετά, όπως διαπιστώνει έρευνα με επικεφαλής το University of East Anglia, που δημοσιεύθηκε στο περιοδικό «The Lancet Public Health».
Όπως εντόπισε η μελέτη, η διατροφή, η σωματική αδράνεια και η παχυσαρκία, όπως και η πανδημία Covid ευθύνονται σε μεγάλο βαθμό για αυτή την επιβράδυνση.
Η ερευνητική ομάδα μελέτησε δεδομένα από το Ινστιτούτο Μετρήσεων και Αξιολόγησης της Υγείας και συγκεκριμένα τη μεγαλύτερη έρευνα για την ποσοτικοποίηση των προβλημάτων υγείας «Global Burden of Disease 2021». Συνέκρινε τις αλλαγές στο προσδόκιμο ζωής, τις αιτίες θανάτου και την έκθεση του πληθυσμού σε παράγοντες κινδύνου σε όλη την Ευρώπη κατά τις περιόδους 1990-2011, 2011-2019 και 2019-2021.
Κατά την περίοδο 1990-2011, η μείωση των θανάτων από καρδιαγγειακά νοσήματα και καρκίνους συνέχισε να οδηγεί σε σημαντική βελτίωση του προσδόκιμου ζωής. Ωστόσο, από το 2011 και μετά η σταθερή βελτίωση επιβραδύνθηκε. Συγκεκριμένα, διαπιστώθηκε ότι οι θάνατοι από καρδιαγγειακά νοσήματα αποτέλεσαν την κύρια αιτία της μείωσης που υπήρξε στη βελτίωση του προσδόκιμου ζωής κατά την περίοδο 2011-2019. Μετά το 2011, σημαντικοί κίνδυνοι, όπως η παχυσαρκία, η υψηλή αρτηριακή πίεση και η υψηλή χοληστερόλη είτε αυξήθηκαν είτε σταμάτησαν να βελτιώνονται σε όλες σχεδόν τις χώρες. Επίσης, η πανδημία Covid ήταν υπεύθυνη για τις μειώσεις στο προσδόκιμο ζωής που παρατηρήθηκαν το 2019-2021.
Στην έρευνα μελετήθηκαν 20 χώρες, συγκεκριμένα η Αυστρία, το Βέλγιο, η Δανία, η Φινλανδία, η Γαλλία, η Γερμανία, η Ελλάδα, η Ισλανδία, η Ιρλανδία, η Ιταλία, το Λουξεμβούργο, η Ολλανδία, η Νορβηγία, η Πορτογαλία, η Ισπανία, η Σουηδία, η Αγγλία, η Βόρεια Ιρλανδία, η Σκωτία και η Ουαλία. Από όλες τις χώρες, η Αγγλία παρουσίασε τη μεγαλύτερη επιβράδυνση στο προσδόκιμο ζωής.
Άλλες χώρες, όπως η Νορβηγία, η Ισλανδία, η Σουηδία, η Δανία και το Βέλγιο διατήρησαν καλύτερο προσδόκιμο ζωής μετά το 2011 και είδαν μειωμένες επιπτώσεις από καρδιακές παθήσεις, με τη συνδρομή κυβερνητικών πολιτικών.
Την περίοδο 2019-2021 υπήρξε συνολική μείωση του μέσου ετήσιου προσδόκιμου ζωής σε όλες τις χώρες. Η μεγαλύτερη μείωση παρατηρήθηκε στην Ελλάδα και στην Αγγλία. Στην Ελλάδα σημειώνεται για την περίοδο αυτή ότι εκτός από τους θανάτους από αναπνευστικές λοιμώξεις και άλλα προβλήματα υγείας σχετικά με την Covid-19, ένα μικρό μέρος της μείωσης του προσδόκιμου ζωής αποδόθηκε σε θανάτους από νεοπλάσματα. Τα νεοπλάσματα ήταν αιτία μείωσης του προσδόκιμου ζωής για την Ελλάδα (όπως και τη Γερμανία και τη Σκωτία) και κατά την περίοδο 2011-2019.
Στην έρευνα εντοπίστηκε ότι παρά την ύφεση, το προσδόκιμο ζωής για τους ηλικιωμένους σε πολλές χώρες εξακολούθησε να βελτιώνεται, «γεγονός που δείχνει ότι δεν έχουμε φτάσει ακόμη σε ένα φυσικό ανώτατο όριο μακροζωίας», όπως παρατηρεί ο επικεφαλής της έρευνας, καθηγητής της Ιατρικής Σχολής Norwich του University of East Anglia, Νικ Στιλ.
Οι επιστήμονες σημειώνουν ότι για να παρατείνουμε τα χρόνια ζωής μας πρέπει να δώσουμε προτεραιότητα σε έναν πιο υγιεινό τρόπο ζωής κατά τη νεότερη ηλικία μας. Επίσης, καλούν τις κυβερνήσεις να επενδύσουν σε πρωτοβουλίες για τη δημόσια υγεία.
Πηγή: ΑΠΕ-ΜΠΕ
- ΕΟΦ: Προειδοποίηση για τη χρήση αντιδιαβητικών φαρμάκων για την παχυσαρκία
- Εμμηνόπαυση και κιλά: Γιατί αυξάνεται το βάρος των γυναικών;
- Τελικά ο καφές βλάπτει ή ωφελεί;
