ΚΡΗΤΗ
1003 τα νέα κρούσματα του κορωνοϊού στην Κρήτη
Συνεχίζονται οι αυξητικές τάσεις στο πλήθος των νέων μολύνσεων - Μόνο στο Ηράκλειο τα κρούσματα ξεπέρασαν τα 500 το τελευταίο 24ωρο
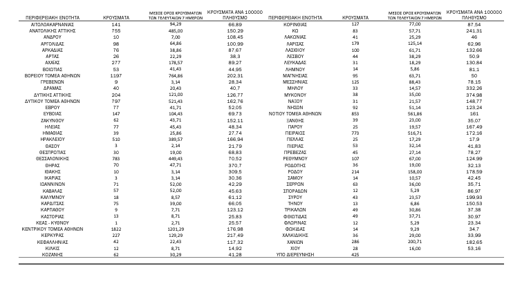
Μεταξύ των 10.528 νέων κρουσμάτων κορωνοϊού που ανακοίνωσε την Τετάρτη ο ΕΟΔΥ τα 1.003 καταγράφηκαν στην Κρήτη. Σύμφωνα με τα στοιχεία της ημερήσιας έκθεσης επιδημιολογικής επιτήρησης:
- 510 νέες μολύνσεις εντοπίστηκαν το τελευταίο 24ωρο στο Ηράκλειο
- 100 στο Λασίθι
- 107 στο Ρέθυμνο, και
- 286 στα Χανιά
Δείτε στον πίνακα που ακολουθεί πώς διαμορφώνεται η γεωγραφική κατανομή των νέων μολύνσεων ανά την επικράτεια:

Υψηλά και τα ποσοστά της θετικότητας
Οσον αφορά στα ποσοστά θετικότητας, κατέγραψαν επίσης αυξητικές τάσεις κατά το χρονικό διάστημα από τις 13 έως τις 19 Ιουνίου. Πιο συγκεκριμένα στο Ηράκλειο το ποσοστό αυτό έφτασε το 16,36% στο ίδιο σχεδόν επίπεδο με την Ανατολική Αττική, στα Χανιά το 14,55%, στο Ρέθυμνο το 11,14% και στο Λασίθι το 9,67%.
Δείτε το σχετικό πίνακα:

Διαβάστε επίσης:
«Επικίνδυνο και πρώιμο το 6ο κύμα της πανδημίας»
Κορωνοϊός: 10.528 νέα κρούσματα, 9 θάνατοι και 94 διασωληνωμένοι
Διαβάστε περισσότερες ειδήσεις από την Κρήτη
