ΚΡΗΤΗ
Κορωνοϊός: 1.184 τα νέα κρούσματα στην Κρήτη
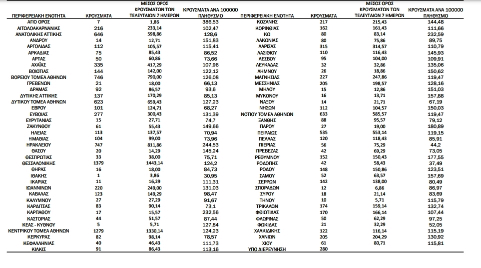
Η γεωγραφική κατανομή των νέων κρουσμάτων στην Κρήτη
SHARE:
Τα νέα εργαστηριακά επιβεβαιωμένα κρούσματα κορωνοϊού που καταγράφηκαν τις τελευταίες 24 ώρες από τον ΕΟΔΥ και ανακοινώθηκαν το Σάββατο είναι 12.997, εκ των οποίων 19 εντοπίστηκαν κατόπιν ελέγχων στις πύλες εισόδου της χώρας.
Από αυτά, τα 1.184 καταγράφηκαν στην Κρήτη. Πιο συγκεκριμένα, 717 στο Ηράκλειο, 205 εντοπίστηκαν στα Χανιά, 152 στο Ρέθυμνο και 110 στο Λασίθι.

Διαβάστε επίσης:
Κορωνοϊός - 12.997 νέα κρούσματα: 51 νεκροί και 384 διασωληνωμένοι
Αρνήθηκαν να τους κάνουν rapid test! - "Είστε διπλά εμβολιασμένος, δε χρειάζεται!"
Πρόστιμα για μάσκες & κάπνισμα
Διαβάστε περισσότερες ειδήσεις από την Κρήτη