ΚΡΗΤΗ
Κορωνοϊός στην Κρήτη: 8.874 νέα κρούσματα σε μια εβδομάδα
Δείτε πώς διαμορφώνεται η γεωγραφική κατανομή των νέων μολύνσεων - Τα νέα δεδομένα που προκύπτουν από τα αστικά λύματα στην Κρήτη
Μεταξύ των 136.077 νέων κρουσμάτων σε διάστημα μιας εβδομάδας που ανακοίνωσε το απόγευμα της Τρίτης ο ΕΟΔΥ τα 8.874 καταγράφηκαν στην Κρήτη. Υπενθυμίζεται πως πρόκειται για τις νέες μολύνσεις που επιβεβαιώθηκαν το χρονικό διάστημα από τις 18 έως τις 24 Ιουλίου.
Σύμφωνα με την εβδομαδιαία έκθεση επιδημιολογικής επιτήρησης σε επίπεδο Κρήτης καταγράφηκαν:
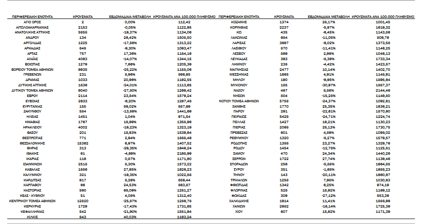
- 4.002 νέες μολύνσεις στο Ηράκλειο
- 870 στο Λασίθι
- 1.320 στο Ρέθυμνο, και
- 2.682 στα Χανιά
Στον πίνακα που ακολουθεί δείτε πώς διαμορφώνεται η γεωγραφική κατανομή των νέων κρουσμάτων μέχρι τις 24 Ιουλίου:

Όσον αφορά στο ιικό φορτίο, όπως προκύπτει από την ανάλυση των αστικών λυμάτων, στο Ηράκλειο καταγράφεται αυξητική τάση και πτωτική στα Χανιά και τον Άγιο Νικόλαο.

Ειδικότερα για την Κρήτη στην ανακοίνωση του ΕΟΔΥ σημειώνονται τα εξής:
Ηράκλειο: Την τελευταία εβδομάδα, 18-24/07/2022, στην πόλη του Ηρακλείου, η εβδομαδιαία μέση τιμή του ιικού φορτίου των αστικών λυμάτων δεν παρουσίασε σημαντική μεταβολή (+10%), παρέμεινε δηλαδή ουσιαστικά σταθερή σε σχέση με την προηγούμενη εβδομάδα, 11-17/07/2022.
Χανιά: Την τελευταία εβδομάδα, 18-24/07/2022, στην πόλη των Χανίων, η εβδομαδιαία μέση τιμή του ιικού φορτίου των αστικών λυμάτων παρουσίασε μείωση (-40%) σε σχέση με την προηγούμενη εβδομάδα, 11- 17/07/2022.
Άγιος Νικόλαος: Την τελευταία εβδομάδα, 18-24/07/2022, στην πόλη του Αγίου Νικολάου, η εβδομαδιαία μέση τιμή του ιικού φορτίου των αστικών λυμάτων παρουσίασε μείωση (-37%) σε σχέση με την προηγούμενη εβδομάδα, 11-17/07/2022.
Διαβάστε επίσης:
Κορωνοϊός: 136.077 κρούσματα και 271 θάνατοι σε μία εβδομάδα
Διαβάστε περισσότερες ειδήσεις από την Κρήτη
